• Предмет: Математика
  • Автор: Аноним
  • Вопрос задан 10 лет назад

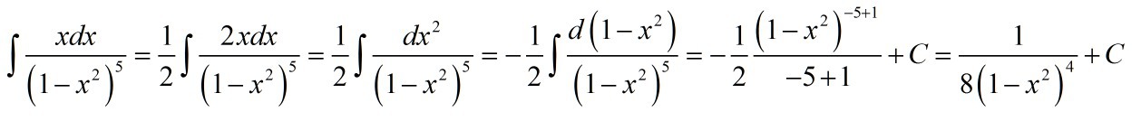
интеграл умножить на xdx/(1-x^2)^5 - НАЙТИ

Ответы

Ответ дал: Аноним
0
решение смотри во вложении
Приложения:
Ответ дал: Аноним
0
спасибо
Ответ дал: Аноним
0
решите пожалуйста этот пример через новую переменную
Вас заинтересует