• Предмет: Математика
  • Автор: Аноним
  • Вопрос задан 10 лет назад

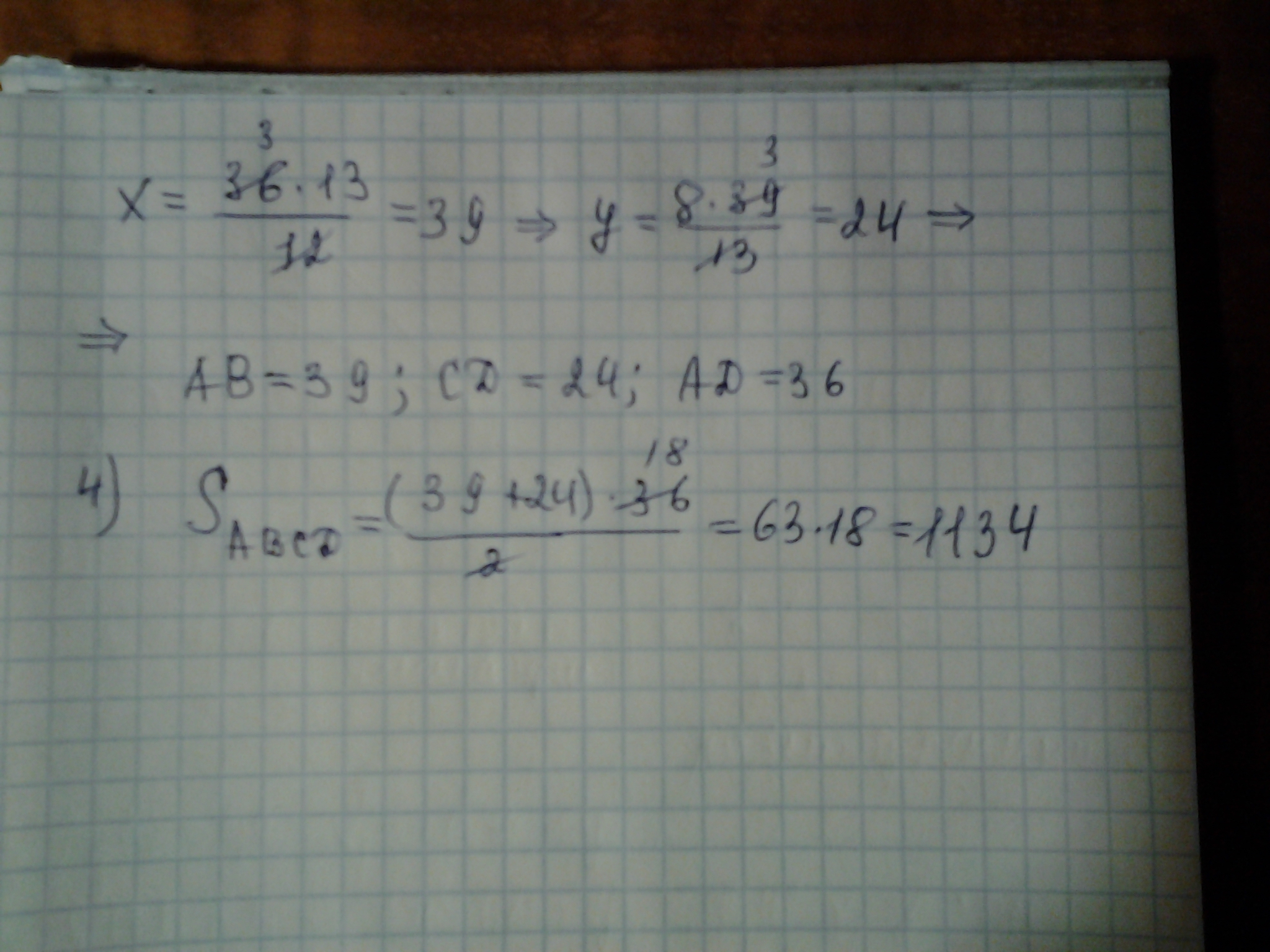
У прямокутній трапеції менша діагональ є бісектрисою тупого кута і ділить другу діагональ на відрізки у відношенні 13:8.Обчислити плщу трапеції,якщо її висота дорівнює 36 см.

Ответы

Ответ дал: okneret
0
Применены : формула площади трапеции, свойство накрест лежащих углов при параллельных прямых, свойство биссектрисы, теорема Пифагора
Приложения:
Вас заинтересует