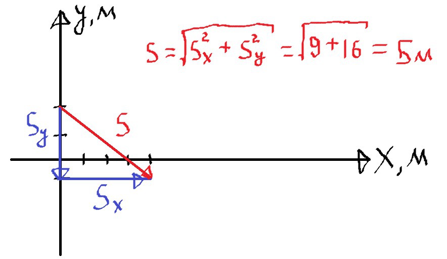
Тело переместилось из точки x0=0м, y0=2м в точку с координатами X=4м, У=-1м.
Сделать чертёж, показать вектор перемещения. Найти модуль перемещения.
Ответы
Ответ дал:
0
смотрите приложение
=============================
=============================
Приложения:
Вас заинтересует
2 года назад
7 лет назад
10 лет назад
10 лет назад
10 лет назад