Ответы
Ответ дал:
0
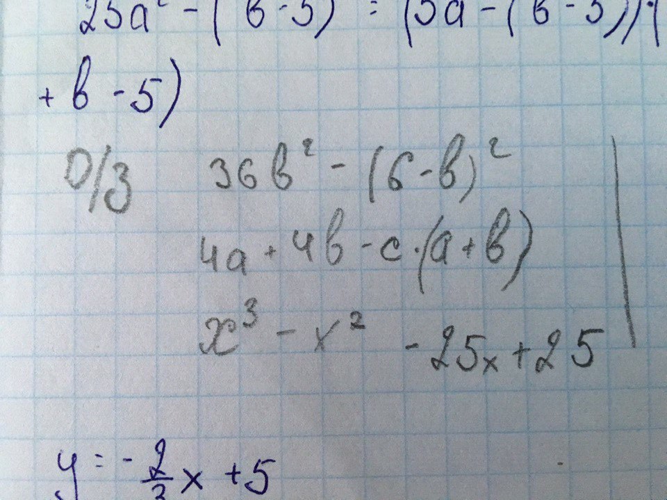
1)36b^2-(6-b)^2=36b^2-(36-12b+b^2)=36b^2-36+12b-b^2=35b^2+12b-36
2)4a+4b-c(a+b)=4(a+b)-c(a+b)=(a+b)(4-c)
3)x^3-x^2-25x+25=(x^3-25x)+(25-x^2)=x(x^2-25)-(x^2-25)=(x^2-25)(x-1)
2)4a+4b-c(a+b)=4(a+b)-c(a+b)=(a+b)(4-c)
3)x^3-x^2-25x+25=(x^3-25x)+(25-x^2)=x(x^2-25)-(x^2-25)=(x^2-25)(x-1)
Вас заинтересует
2 года назад
7 лет назад
7 лет назад
10 лет назад
10 лет назад
10 лет назад