• Предмет: Математика
  • Автор: Аноним
  • Вопрос задан 9 лет назад

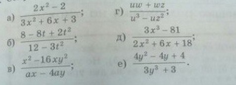
СОКРАТИТЕ ДРОБЬ! УМОЛЯЮ

ПОД БУКВОЙ Б

Приложения:

Ответы

Ответ дал: Snuffun
0
(4-2t)/(3(2+t))
легкое уравнение
Ответ дал: Аноним
0
дак там же две 8
Ответ дал: Snuffun
0
Ну да. все правильно
Вас заинтересует