• Предмет: Алгебра
  • Автор: Fiyero
  • Вопрос задан 9 лет назад

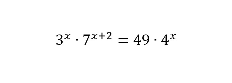
Решите, пожалуйста, и объясните

Приложения:

Ответа на этот вопрос пока нет. Попробуйте найти его через форму поиска.

Вас заинтересует