Помогите с заданием !
Задание: Найти все первообразные функции!
Вложение!
Огромное спасибо всем кто поможет!
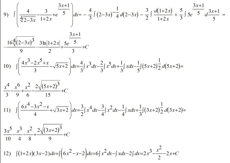
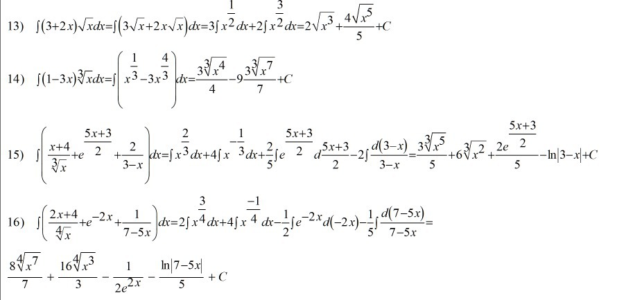
Нужно с 9 по 16
Приложения:

Ответы
Ответ дал:
0
решение смотри во вложении
Приложения:


Ответ дал:
0
Спасибо большое!
Вас заинтересует
2 года назад
2 года назад
7 лет назад
7 лет назад
9 лет назад