Пожалуйста помогите решить задачи по химии.. Даю 15 баллов... Хееееелп.
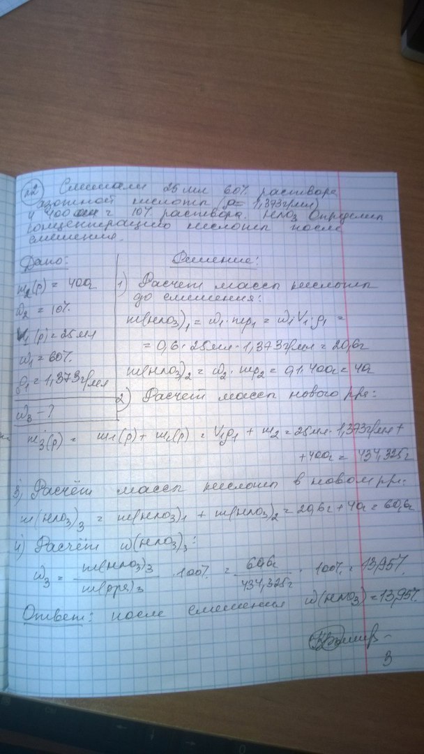
Смешали 25 мл 60% раствора азотной кислоты плотностью 1,373 г/мл и 400 г 10% раствора азотной кислоты. Найдите концентрацию азотной кислоты в полученном растворе.
Массовая доля HNO3 в растворе, полученная после добавления 20 г воды к 160 г её 5% раствора, равна - ?
Ответы
Ответ дал:
0
Решение в прикрепленном файле (если актуально)
Приложения:


Вас заинтересует
2 года назад
7 лет назад
7 лет назад
9 лет назад