Ответы
Ответ дал:
0
ответы во вложении
когда ты в 11 классе и тебе скучно
когда ты в 11 классе и тебе скучно
Приложения:
Ответ дал:
0
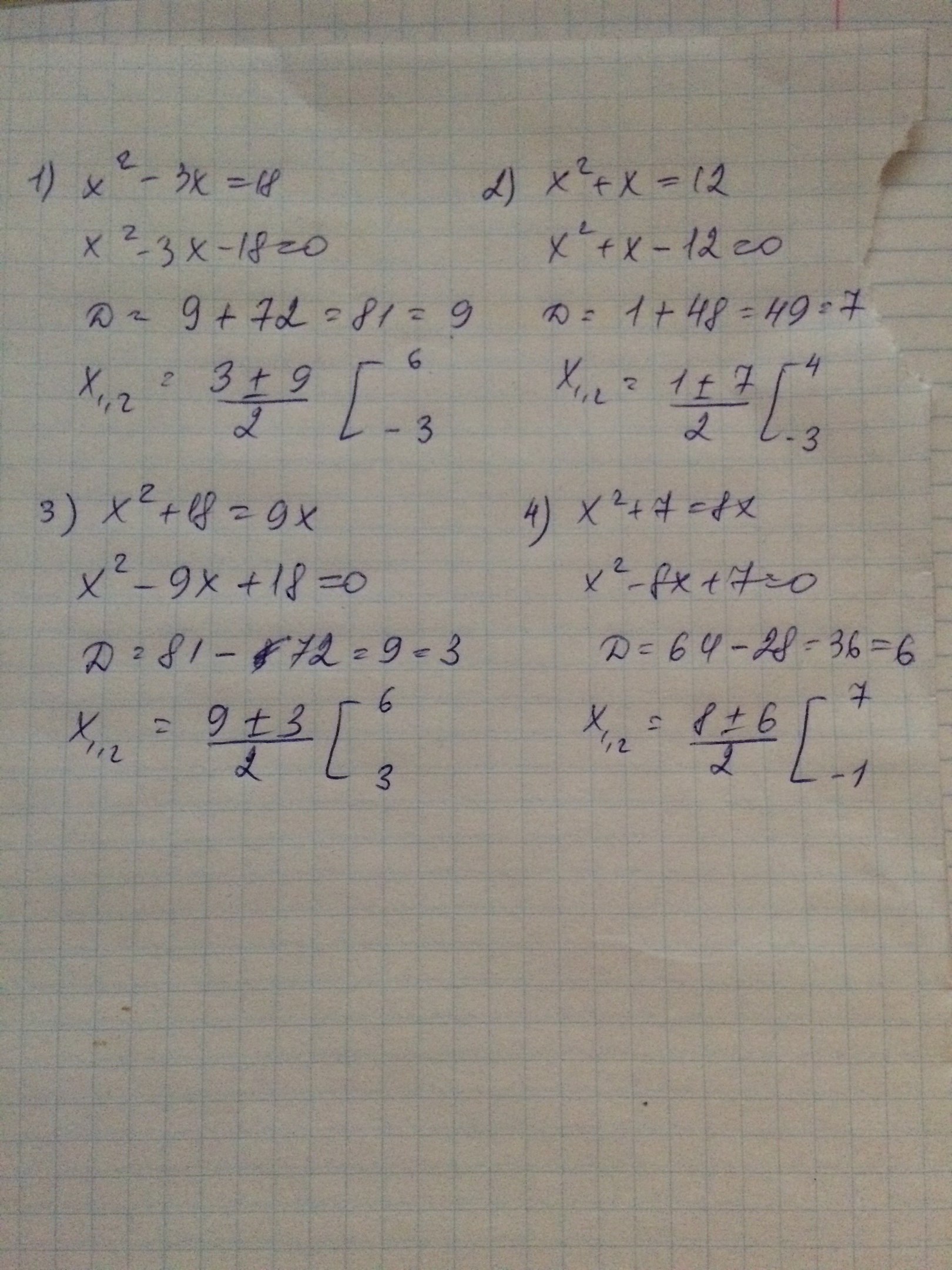
1) Выражение: x^2-3*x-18=0
Квадратное уравнение, решаем относительно x: Ищем дискриминант:
D=(-3)^2-4*1*(-18)=9-4*(-18)=9-(-4*18)=9-(-72)=9+72=81;Дискриминант больше 0, уравнение имеет 2 корня:
x_1=(√81-(-3))/(2*1)=(9-(-3))/2=(9+3)/2=12/2=6;x_2=(-√81-(-3))/(2*1)=(-9-(-3))/2=(-9+3)/2=-6/2=-3.
2) Выражение: x^2+x-12=0.
Квадратное уравнение, решаем относительно x: Ищем дискриминант:
D=1^2-4*1*(-12)=1-4*(-12)=1-(-4*12)=1-(-48)=1+48=49;Дискриминант больше 0, уравнение имеет 2 корня:
x_1=(√49-1)/(2*1)=(7-1)/2=6/2=3;x_2=(-√49-1)/(2*1)=(-7-1)/2=-8/2=-4.
3) Выражение: x^2-9*x+18=0.
Квадратное уравнение, решаем относительно x: Ищем дискриминант:
D=(-9)^2-4*1*18=81-4*18=81-72=9;Дискриминант больше 0, уравнение имеет 2 корня:
x_1=(√9-(-9))/(2*1)=(3-(-9))/2=(3+9)/2=12/2=6;x_2=(-√9-(-9))/(2*1)=(-3-(-9))/2=(-3+9)/2=6/2=3.
4) Выражение: x^2-8*x+7=0.
Квадратное уравнение, решаем относительно x: Ищем дискриминант:
D=(-8)^2-4*1*7=64-4*7=64-28=36;Дискриминант больше 0, уравнение имеет 2 корня:
x_1=(√36-(-8))/(2*1)=(6-(-8))/2=(6+8)/2=14/2=7;x_2=(-√36-(-8))/(2*1)=(-6-(-8))/2=(-6+8)/2=2/2=1.
Квадратное уравнение, решаем относительно x: Ищем дискриминант:
D=(-3)^2-4*1*(-18)=9-4*(-18)=9-(-4*18)=9-(-72)=9+72=81;Дискриминант больше 0, уравнение имеет 2 корня:
x_1=(√81-(-3))/(2*1)=(9-(-3))/2=(9+3)/2=12/2=6;x_2=(-√81-(-3))/(2*1)=(-9-(-3))/2=(-9+3)/2=-6/2=-3.
2) Выражение: x^2+x-12=0.
Квадратное уравнение, решаем относительно x: Ищем дискриминант:
D=1^2-4*1*(-12)=1-4*(-12)=1-(-4*12)=1-(-48)=1+48=49;Дискриминант больше 0, уравнение имеет 2 корня:
x_1=(√49-1)/(2*1)=(7-1)/2=6/2=3;x_2=(-√49-1)/(2*1)=(-7-1)/2=-8/2=-4.
3) Выражение: x^2-9*x+18=0.
Квадратное уравнение, решаем относительно x: Ищем дискриминант:
D=(-9)^2-4*1*18=81-4*18=81-72=9;Дискриминант больше 0, уравнение имеет 2 корня:
x_1=(√9-(-9))/(2*1)=(3-(-9))/2=(3+9)/2=12/2=6;x_2=(-√9-(-9))/(2*1)=(-3-(-9))/2=(-3+9)/2=6/2=3.
4) Выражение: x^2-8*x+7=0.
Квадратное уравнение, решаем относительно x: Ищем дискриминант:
D=(-8)^2-4*1*7=64-4*7=64-28=36;Дискриминант больше 0, уравнение имеет 2 корня:
x_1=(√36-(-8))/(2*1)=(6-(-8))/2=(6+8)/2=14/2=7;x_2=(-√36-(-8))/(2*1)=(-6-(-8))/2=(-6+8)/2=2/2=1.
Приложения:
Вас заинтересует
2 года назад
7 лет назад
7 лет назад
10 лет назад
10 лет назад
10 лет назад