• Предмет: Алгебра
  • Автор: Melancholy09
  • Вопрос задан 11 лет назад

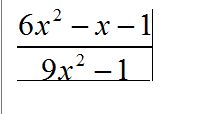
8 класс, алгебра. Сократите дробь 
 

Приложения:

Ответы

Ответ дал: Wylkan
0

x(6x-1-1)/x(9x-1)=6x-2/9x-1=x(6-2)/x(9-1)=4/8=1/2

Вас заинтересует