• Предмет: Алгебра
  • Автор: CHEGUEVARA16
  • Вопрос задан 10 лет назад

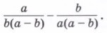
Упростить выражение. Помогите, всё условие в фото

Приложения:

Ответы

Ответ дал: sedinalana
0
a/[b(a-b)]-b/[a(a-b)]=(a²-b²)/[ab(a-b)]=(a-b)(a+b)/[ab(a-b)]=(a+b)/ab
Ответ дал: Сочиана2015
0
Все правильно решено!!!
Вас заинтересует