• Предмет: Алгебра
  • Автор: КСЮША071281
  • Вопрос задан 9 лет назад

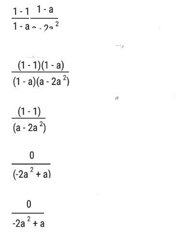
решить уравнение (1-1/(1-а)) / ((а-2а²) / (1-а) +а)

Ответы

Ответ дал: АлексБро
0
вот это, смотрите на фото
Приложения:
Вас заинтересует