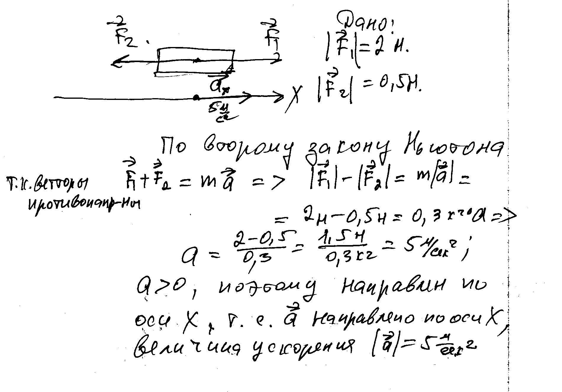
По горизонтальной поверхности стола, неподвижного относительно Земли, равноускоренно перемещается брусок массой 0,3 кг. На него действуют векторные силы F1 и F2, модули которых равны 2 и 0,5 Н. Найдите проекцию ускорения бруска. на фото рисунок
Приложения:

Ответы
Ответ дал:
0
решение в скане...............Это Вы можете сами решить.
Приложения:

Вас заинтересует
2 года назад
2 года назад
7 лет назад
7 лет назад
9 лет назад
10 лет назад