Нужно решить уравнение,довольно таки срочно в течении минут 40
Заранее огромное спасибо
Приложения:
Ответы
Ответ дал:
0
ОЗ 12
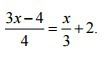
3(3x-4)=4*x+2*12
9x-12=4x+24
9x-4x=24+12
5x=36
x=36:5
x=7,2
3(3x-4)=4*x+2*12
9x-12=4x+24
9x-4x=24+12
5x=36
x=36:5
x=7,2
Ответ дал:
0
(3х-4)/4= х/3+6/3
(3х4)/4= (х+6)/3
3*(3х-4)= 4*(х+6)
9х-12=4х+24
9х-4х=24+12
5х=36
х=36:5
х=7 1/5
(3х4)/4= (х+6)/3
3*(3х-4)= 4*(х+6)
9х-12=4х+24
9х-4х=24+12
5х=36
х=36:5
х=7 1/5
Вас заинтересует
2 года назад
2 года назад
7 лет назад
7 лет назад
10 лет назад
10 лет назад
10 лет назад