Ответы
Ответ дал:
0
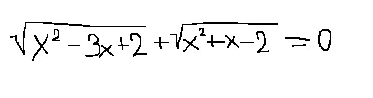
арифметический квадратный корень не может быть отрицательным числом (по определению))
если сумма двух неотрицательных чисел равна нулю, то
это возможно только когда оба слагаемых равны нулю))
например, +5+5≠0
только +5-5=0, т.е. одно из слагаемых должно быть отрицательным
(чтобы сумма была равна нулю)))
или оба слагаемых равны нулю: 0+0=0
получим систему:
х² - 3х + 2 = 0
х² + х - 2 = 0
------------------система
1) по т.Виета корни: (+2) и 1
2) по т.Виета корни: (-2) и 1
т.к. равны нулю должны быть оба уравнения одновременно, то
Ответ: х=1
если сумма двух неотрицательных чисел равна нулю, то
это возможно только когда оба слагаемых равны нулю))
например, +5+5≠0
только +5-5=0, т.е. одно из слагаемых должно быть отрицательным
(чтобы сумма была равна нулю)))
или оба слагаемых равны нулю: 0+0=0
получим систему:
х² - 3х + 2 = 0
х² + х - 2 = 0
------------------система
1) по т.Виета корни: (+2) и 1
2) по т.Виета корни: (-2) и 1
т.к. равны нулю должны быть оба уравнения одновременно, то
Ответ: х=1
Ответ дал:
0
спасибо огромное
Ответ дал:
0
на здоровье))
Вас заинтересует
3 года назад
10 лет назад