• Предмет: Математика
  • Автор: PieRiot
  • Вопрос задан 10 лет назад

Подробно, если можно.

Приложения:

Ответы

Ответ дал: irinan2014
0
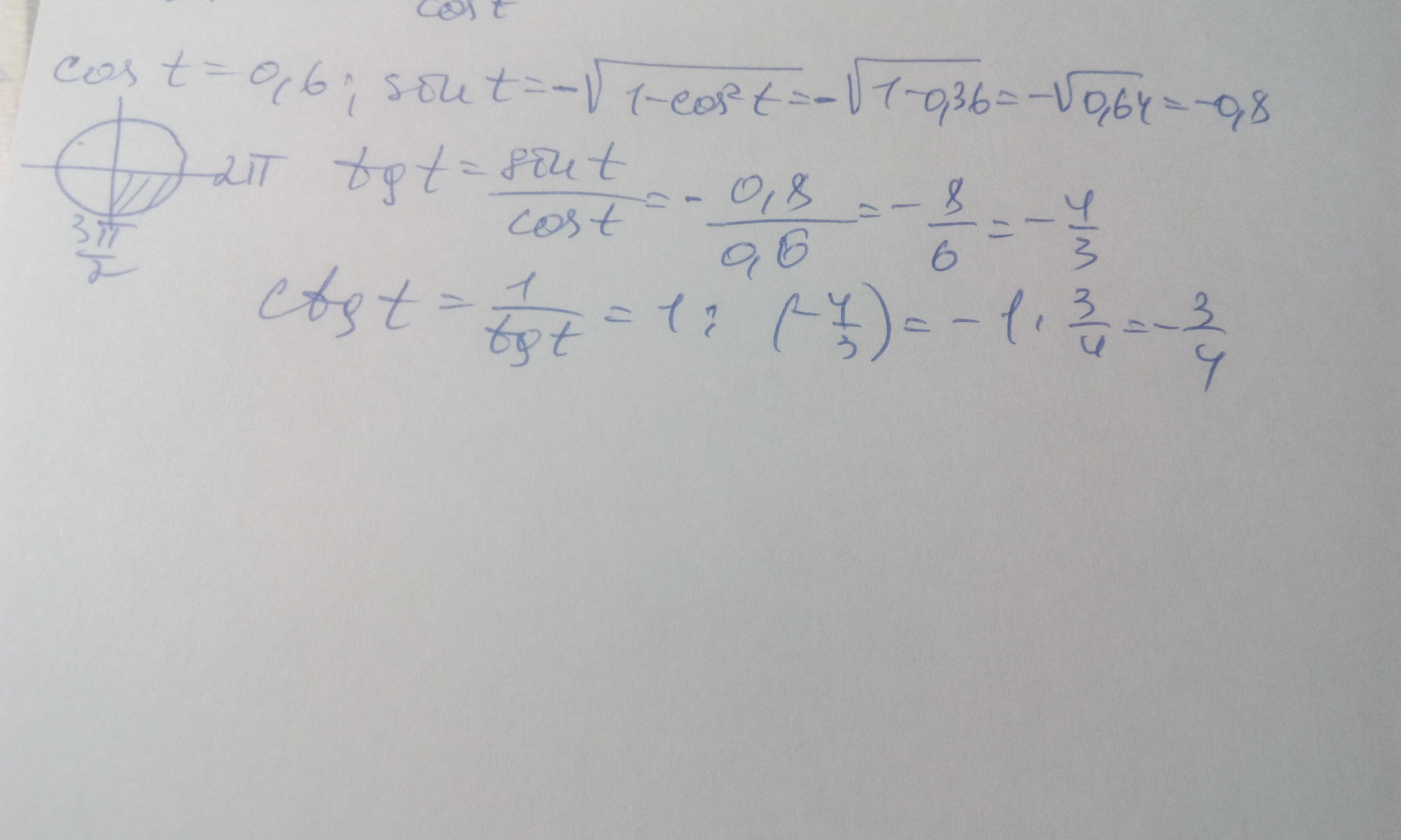
Всё решаем по формулам.
Приложения:
Вас заинтересует