• Предмет: Алгебра
  • Автор: abtanya
  • Вопрос задан 10 лет назад

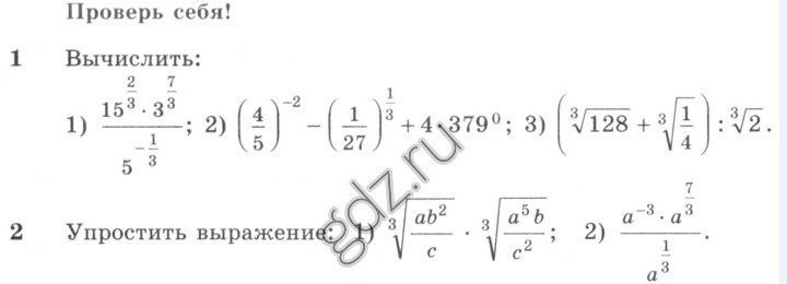
Помогите пожалуйста решить, 10 класс??

Приложения:

Ответы

Ответ дал: syhinina78
0
мдааааааааааааааааааааааааааааааааааа
Вас заинтересует