Ответы
Ответ дал:
0
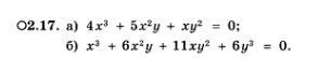
1) х1=0, тогда 0=0, у1 любое.
2) Делим всё на х.
4x^2+5xy+y^2=0
Делим всё на y^2.
4(x/y)^2+5(x/y)+1=0
Замена x/y=t
4t^2+5t+1=(4t+1)(t+1)=0
t1=x/y=-1; x2 любое, кроме 0, y2=-x2.
t2=x/y=-1/4; x3 любое, кроме 0, y3=-4x3
2) Делим всё на х.
4x^2+5xy+y^2=0
Делим всё на y^2.
4(x/y)^2+5(x/y)+1=0
Замена x/y=t
4t^2+5t+1=(4t+1)(t+1)=0
t1=x/y=-1; x2 любое, кроме 0, y2=-x2.
t2=x/y=-1/4; x3 любое, кроме 0, y3=-4x3
Вас заинтересует
3 года назад
3 года назад
8 лет назад
10 лет назад
10 лет назад