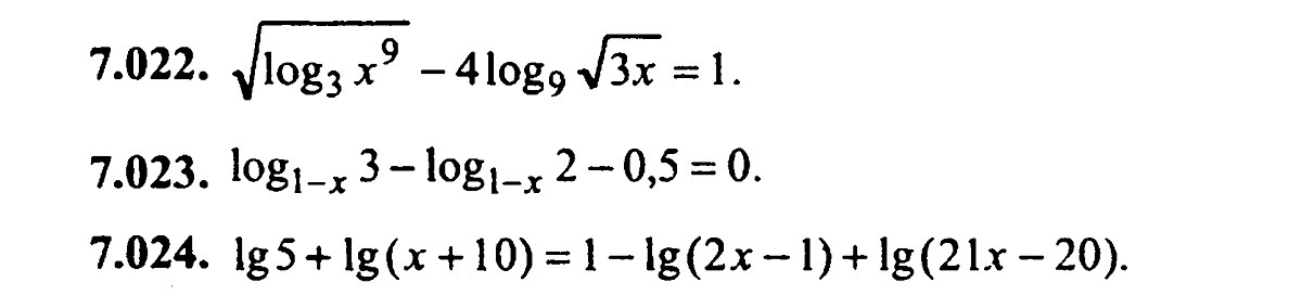
Логарифмы (десятичные тоже). Решить уравнения.
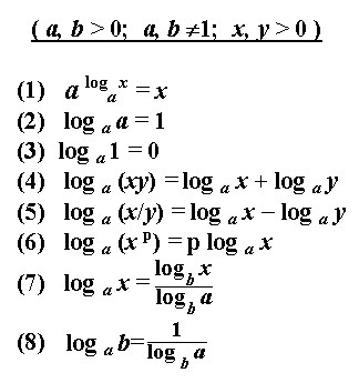
Пожалуйста, пишите решение как можно более пошагово и подробно, максимально объясняя, если вы используете какую-либо формулу, то можете не писать всю форумулу а указать ее номер из второй картинки. Например: здесь я использовал формулу (3), тогда будет понятно.
Пишите номер задания на кот. отвечаете 7.022 или 7.023 или 7.024
Приложения:


Ответы
Ответ дал:
0
Использованы формулы 2, 4, 5, 6 со второй картинки, т.е. логарифмы произведения, дроби, степени
Приложения:



Ответ дал:
0
7.023 вторая строчка, стрелочка вверх и двойка справа означает возвед. в степень левой и правой чисто тех. вопрос, если бы справа был бы многочлен и слева тоже. Наприме трехчлены и справа и слева, то нужно возводить в скобках (x+12-log_6 6)^2 или по отдельности x^2+12^2... Вы поняли что я спросил?
Ответ дал:
0
7.024 переход от первой строчки ко второй. Как сделали? Что за формула, что появилась (21х-20) в знаменателе? Насколько я понял, это не деление левой и правой на (21х-20), а что?
Ответ дал:
0
7.024 Понятно, переход ко второй строчке в числителе это формула (4), то, что в знаменателе это ф-ла (5). Деление и произведение логарифмов.
Ответ дал:
0
7.023. Да, это возведение в квадрат левой и правой частей. А если бы трехчлены, то возводить в квадрат надо именно трехчлены, а не кажжое слагаемое отдельно
Вас заинтересует
2 года назад
2 года назад
7 лет назад
7 лет назад
9 лет назад
9 лет назад
10 лет назад
10 лет назад