Ответы
Ответ дал:
0
первое решается переводом в дробь:
472/100*13/10+87/10*472/1000 = 6136/1000+41064/1000=47200/1000=47.2
остальное могу скинуть фото, так быстрее
задача 5
18×1,5+1,5х=33
27+1,5х=33
1,5х=6
х=4км/ч
472/100*13/10+87/10*472/1000 = 6136/1000+41064/1000=47200/1000=47.2
остальное могу скинуть фото, так быстрее
задача 5
18×1,5+1,5х=33
27+1,5х=33
1,5х=6
х=4км/ч
7)Найдем на сколько руб снизится цена тетради: 10*30/100 = 0,10*30 = 3 (рубля).
Новая цена тетради - 30-3 = 27 рублей.
450/27 = 16,66..
Значит, после понижения цены на 10% можно будет купить 16 тетрадей.
Приложения:

Ответ дал:
0
Хорошо
Ответ дал:
0
Спасибо большое)
Ответ дал:
0
6 не знаю как решить ((( сорри
Ответ дал:
0
в кометах еще покидаю
Приложения:

Ответ дал:
0
7)1) 30-(30*0,1)=27
2) 450/27=16,6(6)
Ответ: 16 шт.
2) 450/27=16,6(6)
Ответ: 16 шт.
Ответ дал:
0
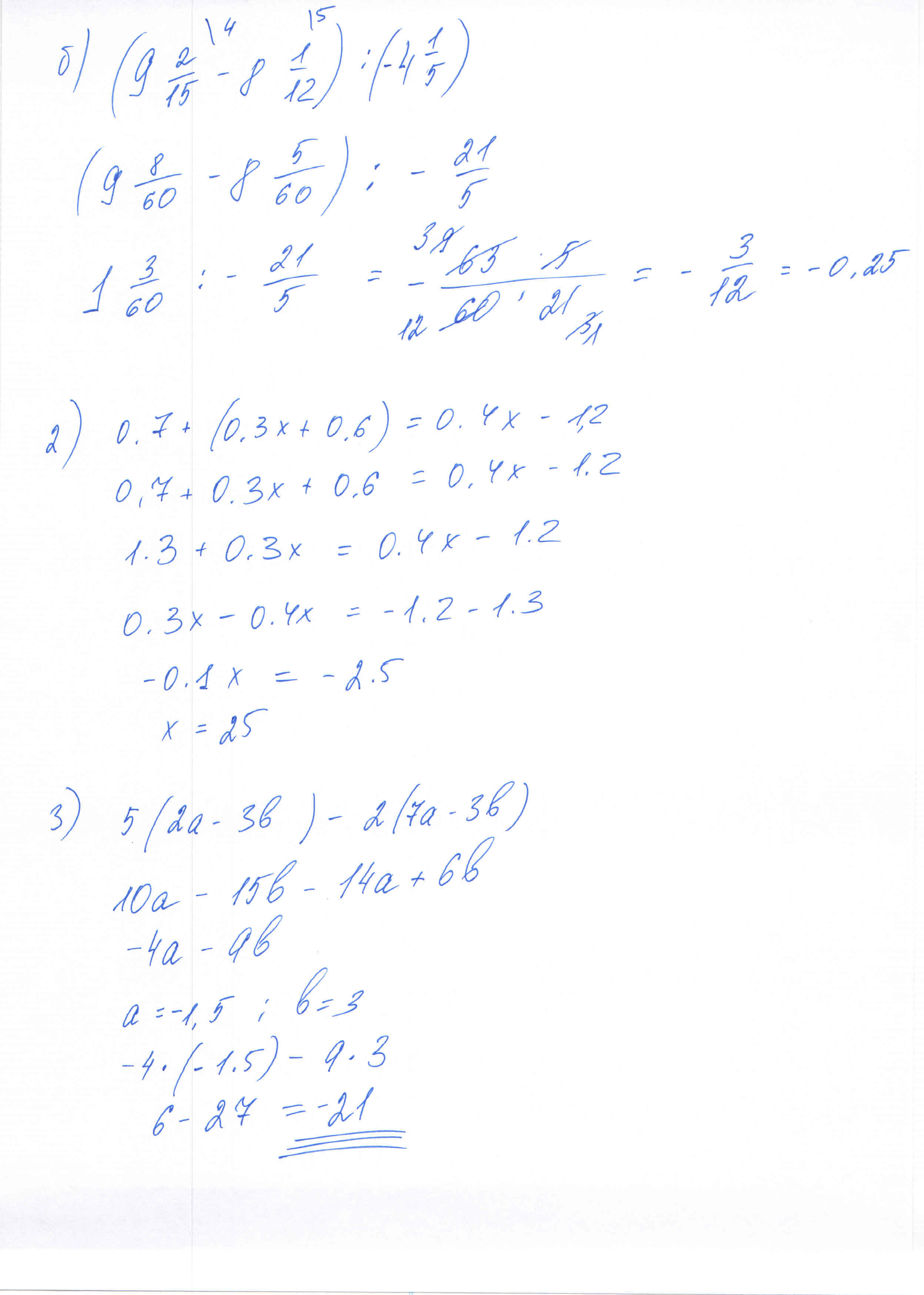
2)25
Ответ дал:
0
с 5 тебя за кт!)
Ответ дал:
0
Спасибо)
Вас заинтересует
2 года назад
2 года назад
7 лет назад
10 лет назад