• Предмет: Алгебра
  • Автор: Аноним
  • Вопрос задан 9 лет назад

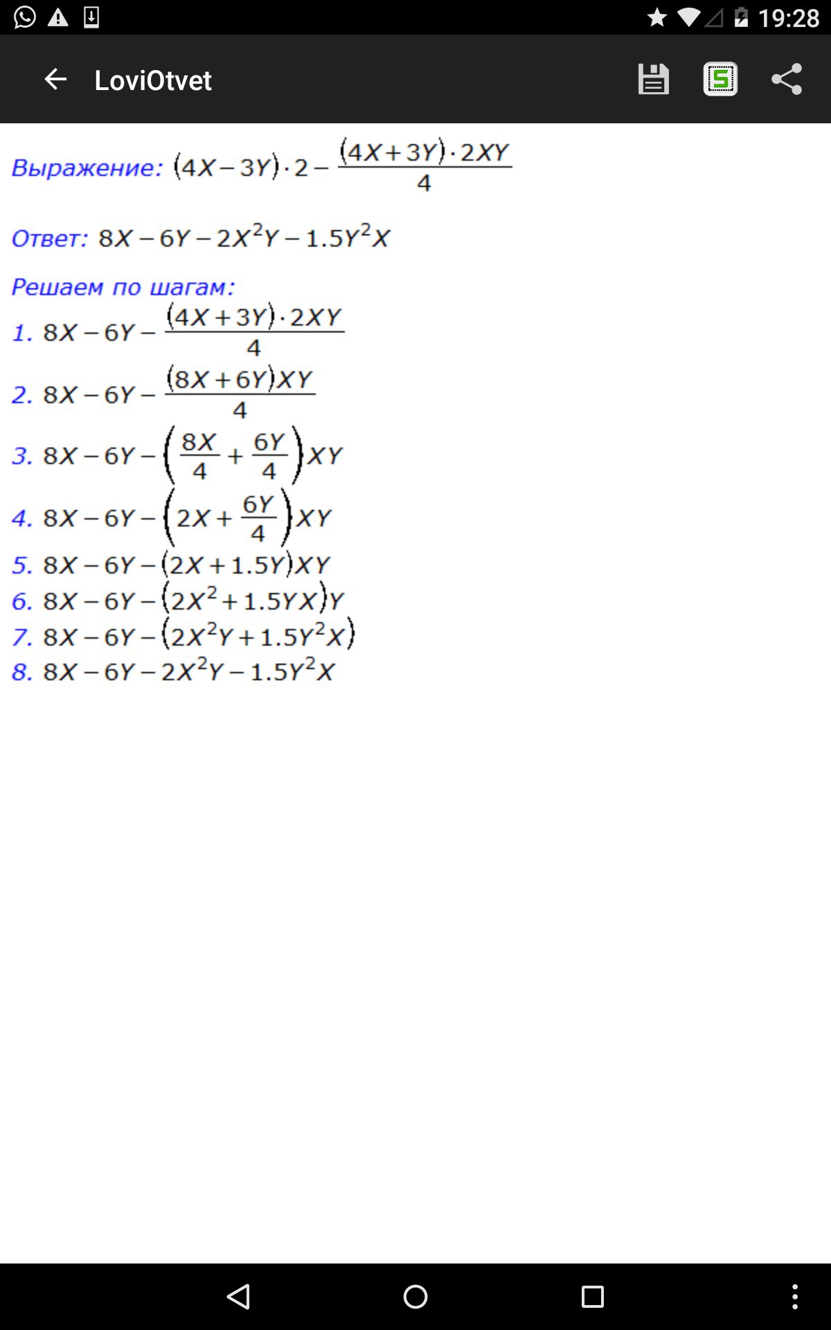
Найдите Значение выражения (4х-3у)2-(4х+3у)2/4ху

Ответы

Ответ дал: ЕленаСитникова
0
вот твой ответ на вопрос
Приложения:
Вас заинтересует