• Предмет: Алгебра
  • Автор: Аноним
  • Вопрос задан 9 лет назад

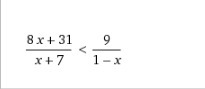
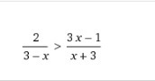
Помогите решить неравенства: 50 баллов!

Приложения:

Ответы

Ответ дал: kisonix
0
...............................
Приложения:
Ответ дал: dbookerkst
0
\\\\\\\\\\\\\\
Приложения:
Вас заинтересует