Ответы
Ответ дал:
0
удачного исправления двойки!
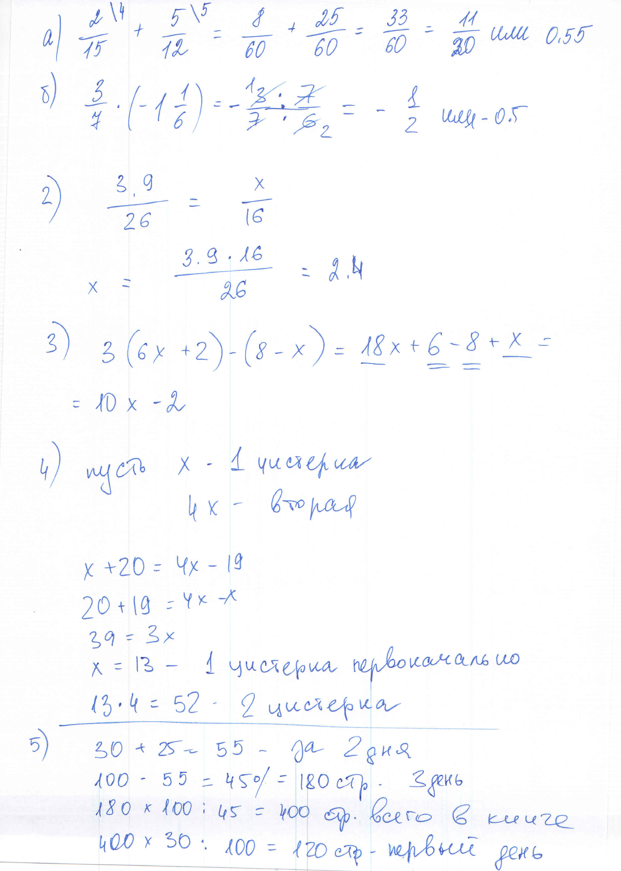
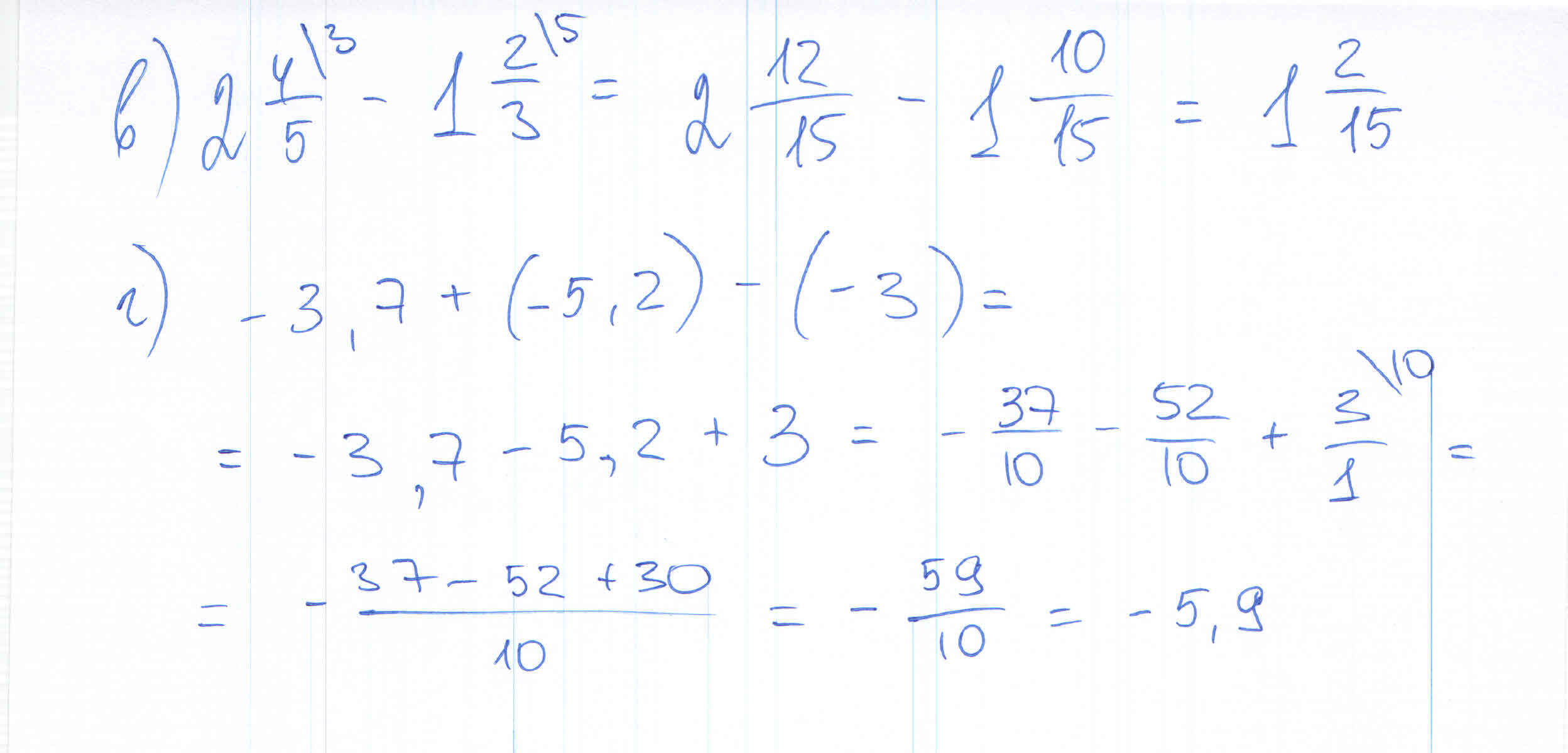
Приложения:


Ответ дал:
0
а 1 , 2 и 5 номер???
Ответ дал:
0
там все есть
Ответ дал:
0
у уменьшить умение открывается
Ответ дал:
0
у меня не открывается
Ответ дал:
0
Всё, спасибо большое ! Я уже зашла через компьютер и всё посмотрела. у меня ещё возник такой вопрос - а вам за это оценку ставили?
Вас заинтересует
2 года назад
7 лет назад
9 лет назад
9 лет назад