• Предмет: Алгебра
  • Автор: kaorimazona
  • Вопрос задан 9 лет назад

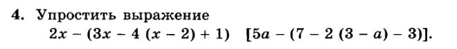
Упростить выражение 7 класс алгебра.

Приложения:

Ответы

Ответ дал: hote
0

displaystyle 2x-(3x-4(x-2)+1)=2x-(3x-4x+8+1)=\\=2x-(-x+9)=2x+x-9=3x-9

displaystyle [5a-(7-2(3-a)-3)]=[5a-(7-6+2a-3)]=[5a-(2a-2)]=\\=[5a-2a+2]=[3a+2]

Вас заинтересует