Ответы
Ответ дал:
0
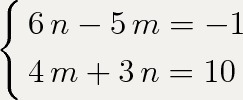
Если только так:
3n=4m-10
сокращаем на 3
n=4m-10/3
Подставляем в выражение
6(4m-10/3) -5m=-1
6 и 3 сокращаются
2(4m-10)-5m=-1
8m-20-5m+1
3m=19
На этом тупик) Возможно изначально в системе ошибка. По другому ее никак не решить. Если только каким нибудь другим методом кроме подстановки.
3n=4m-10
сокращаем на 3
n=4m-10/3
Подставляем в выражение
6(4m-10/3) -5m=-1
6 и 3 сокращаются
2(4m-10)-5m=-1
8m-20-5m+1
3m=19
На этом тупик) Возможно изначально в системе ошибка. По другому ее никак не решить. Если только каким нибудь другим методом кроме подстановки.
Вас заинтересует
3 года назад
8 лет назад
8 лет назад
10 лет назад
10 лет назад