• Предмет: Алгебра
  • Автор: 19102003
  • Вопрос задан 9 лет назад

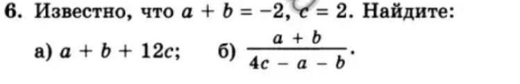
Помогите пожалуйста если можно на листочке

Приложения:

Ответа на этот вопрос пока нет. Попробуйте найти его через форму поиска.

Вас заинтересует