Ответы
Ответ дал:
0
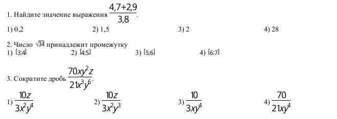
1.) 4.7+2.9= 7.6
7.6/3.8=2
2.) √34= √(36-2);
√36=6; √25=5;
[5;6]
3.) первый ответ 1) 70= 7*10; внизу 21=7*3, сокращаем, х куб сокращаем с х получаем х квадрат, у в шестой сокращаем с у квадрат, получаем у в четвертой
7.6/3.8=2
2.) √34= √(36-2);
√36=6; √25=5;
[5;6]
3.) первый ответ 1) 70= 7*10; внизу 21=7*3, сокращаем, х куб сокращаем с х получаем х квадрат, у в шестой сокращаем с у квадрат, получаем у в четвертой
Вас заинтересует
3 года назад
7 лет назад
10 лет назад
10 лет назад
10 лет назад
10 лет назад