• Предмет: Алгебра
  • Автор: Choicee33
  • Вопрос задан 10 лет назад

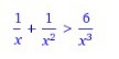
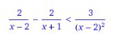
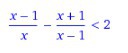
Помогите решить неравенства 56 баллов!
(Хотя бы некоторые)

Приложения:

Ответа на этот вопрос пока нет. Попробуйте найти его через форму поиска.

Вас заинтересует