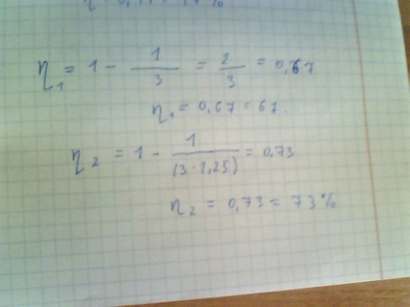
В идеальном тепловом двигателе абсолютная температура нагревателя втрое больше абсолютной температуры холодильника. Каков будет КПД этого двигателя, если, не меняя температуры холодильника, повысить температуру нагревателя на 25%?
Ответы
Ответ дал:
0
Решение во вложении..!
См. решение во 2-ом вложении..!
Приложения:
Вас заинтересует
3 года назад
3 года назад
8 лет назад
8 лет назад
11 лет назад
11 лет назад
11 лет назад