• Предмет: Алгебра
  • Автор: MissKrash
  • Вопрос задан 10 лет назад

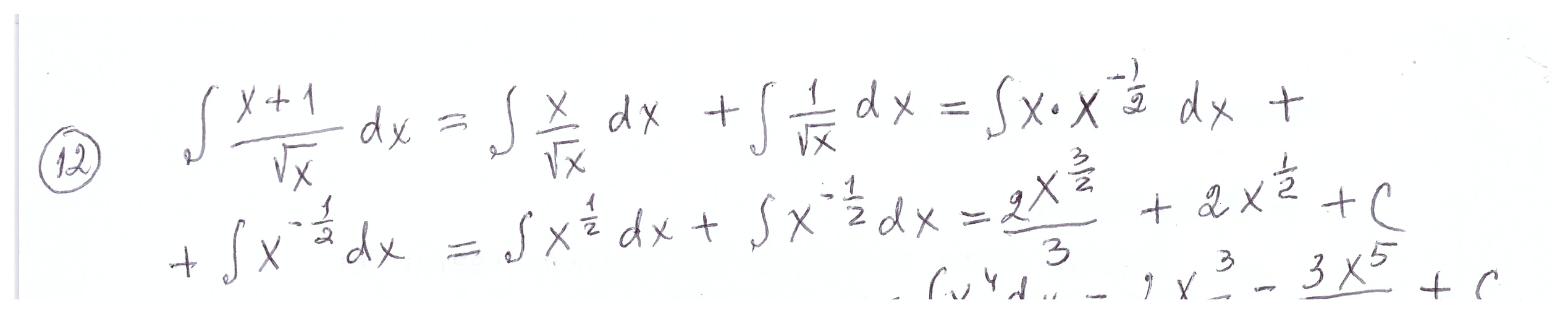
помогите , пожалуйста ,номер 12

Приложения:

Ответы

Ответ дал: raisaallukina
0
Решение во вложенном файле
Приложения:
Вас заинтересует