Ответы
Ответ дал:
6
ВОТ....................................................
Приложения:
Ответ дал:
1
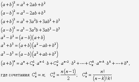
(a+b)2=a2+2ab+b2
(a-b)2= a2-2ab+b2
a2-b2=(a+b)(a-b)
a3+b3=(a+b)(a2-ab+b2)
a3-b3=(a-b)(a2+ab+b2)
(a+b)3=a3+3a2b+3ab2+b3
(a-b)3=a3-3a2b+3ab2-b3
(a-b)2= a2-2ab+b2
a2-b2=(a+b)(a-b)
a3+b3=(a+b)(a2-ab+b2)
a3-b3=(a-b)(a2+ab+b2)
(a+b)3=a3+3a2b+3ab2+b3
(a-b)3=a3-3a2b+3ab2-b3
Вас заинтересует
2 года назад
2 года назад
8 лет назад
9 лет назад
9 лет назад