• Предмет: Алгебра
  • Автор: ksunyru
  • Вопрос задан 9 лет назад

НУЖНО УПРОСТИТЬ, РЕШИТЬ НА ЛИСТОЧКЕ ПЖ

Приложения:

Ответы

Ответ дал: Apofeoz
0
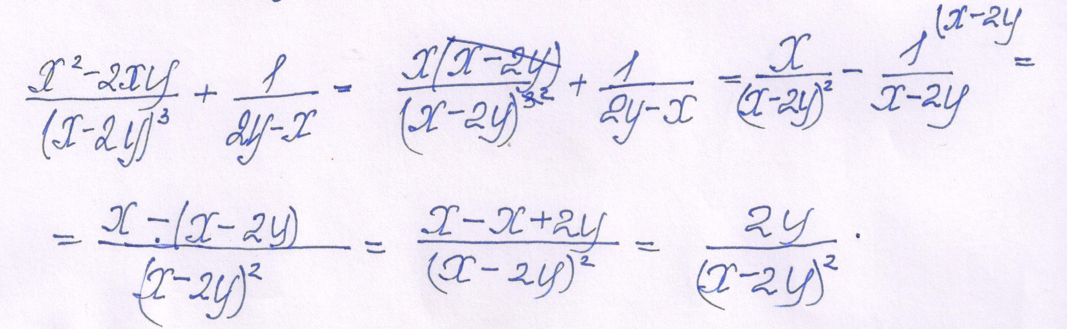
Смотри упрощение в приложении.
Приложения:
Вас заинтересует