• Предмет: Алгебра
  • Автор: Аноним
  • Вопрос задан 10 лет назад

Хелп,помогите
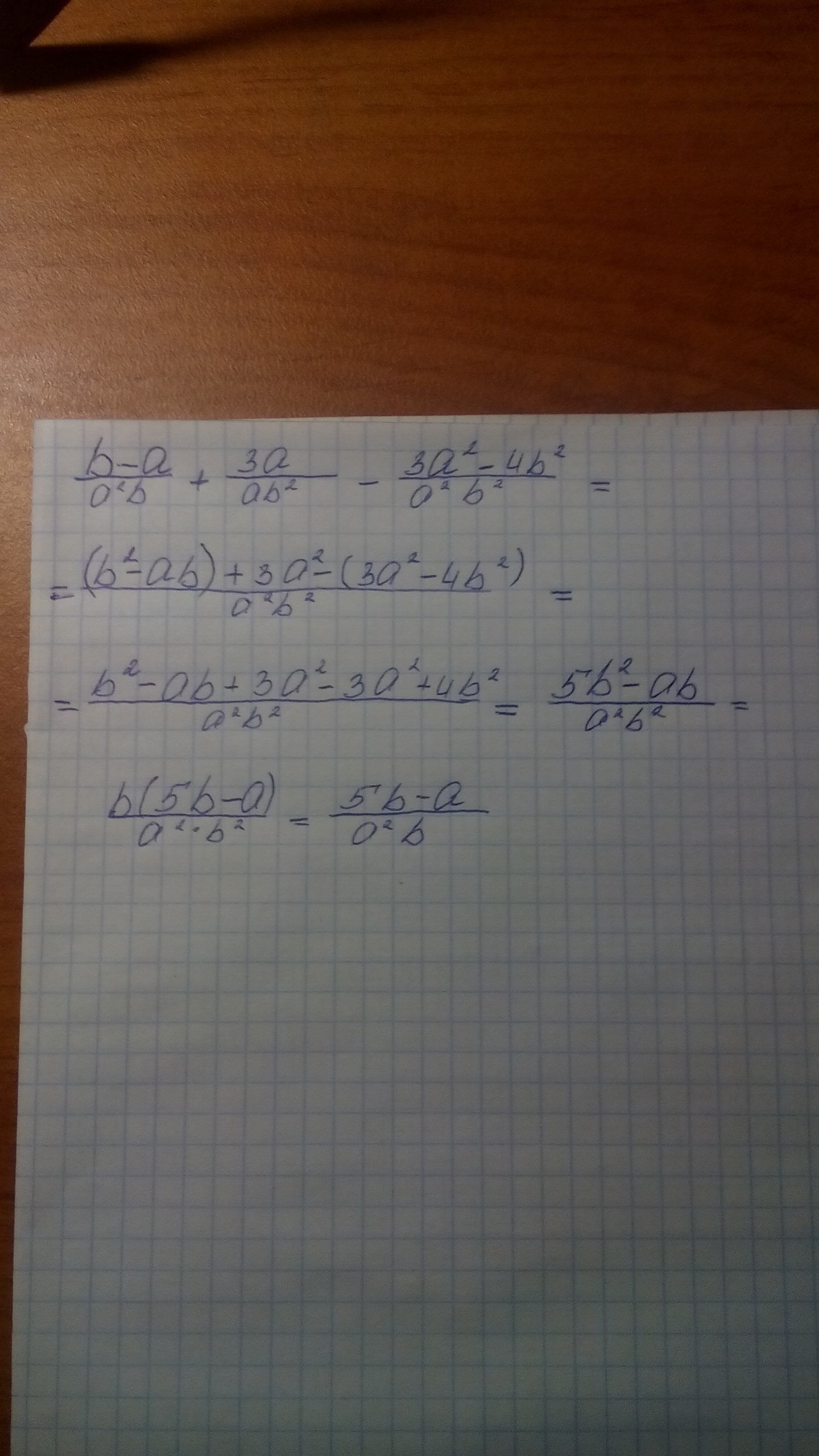
преобразуйте в одну дробь выражение: b-a/a^2b+3a/ab^2-3a^2-4b^2/a^2b^2

Ответы

Ответ дал: КДДима
0
Здесь всё просто. Приводим все дроби к общему знаменателю, а далее всё что можно сокращаем.
Приложения:
Вас заинтересует