• Предмет: Алгебра
  • Автор: Александра0606
  • Вопрос задан 10 лет назад

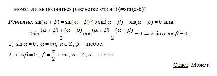
может ли выполняться равенство sin( a+b)=sin (a-b)
если может, то при каких условиях?

Ответы

Ответ дал: SergFlint
0
Решение в приложении.
Приложения:
Вас заинтересует