• Предмет: Алгебра
  • Автор: алина199
  • Вопрос задан 3 года назад

Помогите пожалуйста,срочно!

 

Упростите:

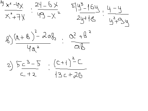
Приложения:

Ответы

Ответ дал: Alevtina17
0

Решение во вложении

Постаралась расписать достаточно подробно

Приложения:
Ответ дал: Yena
0

<var>\frac{x^2-4x}{x^2+7x}:\frac{24-6x}{49-x^2}=\frac{x(x-4)}{x(x+7)}*\frac{(7-x)(7+x)}{6(4-x)}= -\frac{x-4}{1}*\frac{7-x}{6(x-4)}=-\frac{7-x}{6} </var>

 

<var>\frac{y^3-16y}{2y+18}:\frac{4-y}{y^2+9y}=\frac{y(y^2-16)}{2(y+9)}*\frac{y(y+9)}{4-y}=-\frac{y(y-4)(y+4)}{2}*\frac{y}{y-4}= </var>

<var>=-\frac{y^2(y+4)}{2}</var>

 

<var>\frac{(a+b)^2-2ab}{4a^2}:\frac{a^2+b^2}{ab}=\frac{a^2+2ab+b^2-2ab}{4a^2}*\frac{ab}{a^2+b^2}=\frac{a^2+b^2}{4a}*\frac{b}{a^2+b^2}=\frac{b}{4a} </var>

 

<var>\frac{5c^3-5}{c+2}:\frac{(c+1)^2-c}{13c+26}=\frac{5(c-1)(c^2+c+1)}{c+2}*\frac{13(c+2)}{c^2+2c+1-c}=</var>

<var>=\frac{5(c-1)(c^2+c+1)}{1}*\frac{13}{c^2+c+1}=65(c-1)</var>

Вас заинтересует