• Предмет: Алгебра
  • Автор: Ученица20
  • Вопрос задан 9 лет назад

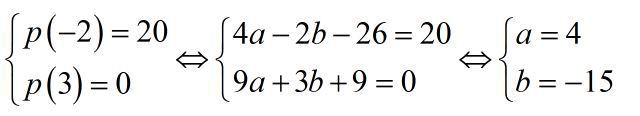
Многочлен Р(х)=х^3+ax^2+bx-18 при делении на (х+2) дает в остатке 20, а на (х-3) делится без остатка. Определите коэффициенты а и b

Ответы

Ответ дал: Аноним
0
решение находится в файле
Приложения:
Вас заинтересует