Ответы
Ответ дал:
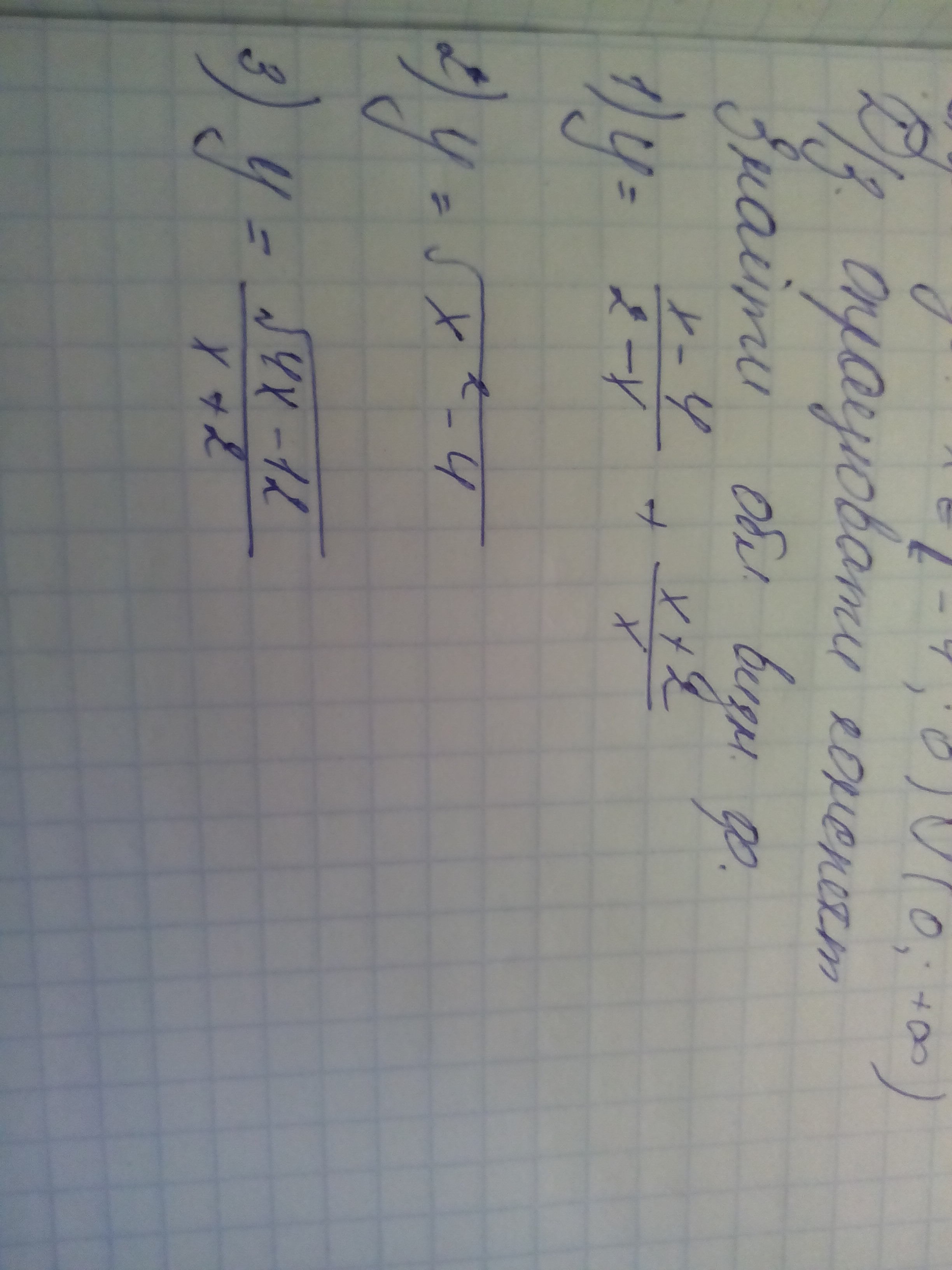
0
1
x≠2 U x≠0
x∈(-∞;00 U (0;2) U (2;∞)
2
x²-4≥0
(x-2)(x+2)≥0
x=2 U x=-2
x∈(-∞;-2] U [2;∞)
3
{4x-12≥0⇒4x≥12⇒x≥3
{x≠-2
x∈[3;∞)
x≠2 U x≠0
x∈(-∞;00 U (0;2) U (2;∞)
2
x²-4≥0
(x-2)(x+2)≥0
x=2 U x=-2
x∈(-∞;-2] U [2;∞)
3
{4x-12≥0⇒4x≥12⇒x≥3
{x≠-2
x∈[3;∞)
Вас заинтересует
2 года назад
2 года назад
7 лет назад
7 лет назад
10 лет назад
10 лет назад