• Предмет: Математика
  • Автор: Yilonka
  • Вопрос задан 9 лет назад

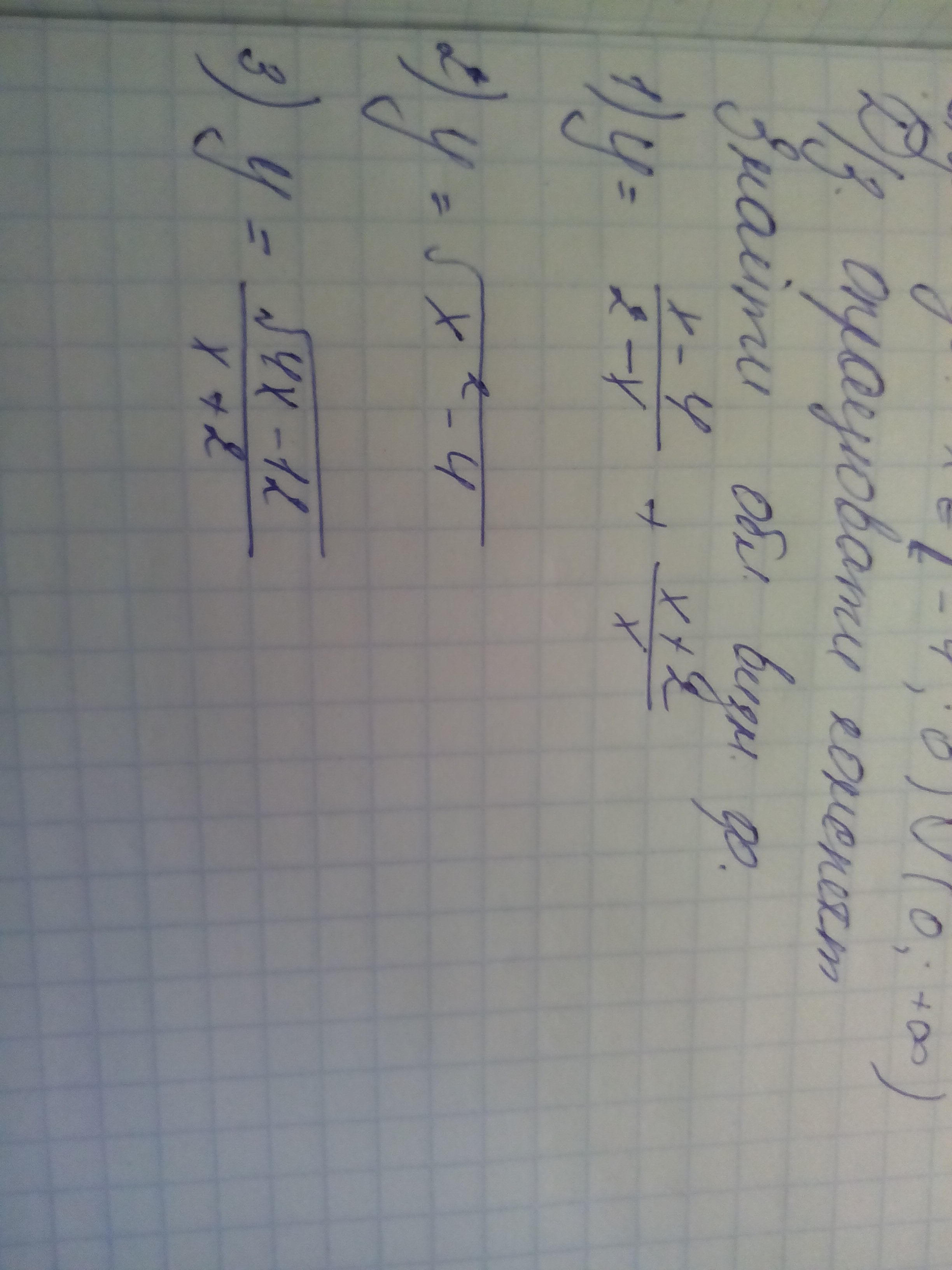
Найти область определения функции:

Приложения:

Ответа на этот вопрос пока нет. Попробуйте найти его через форму поиска.

Вас заинтересует