• Предмет: Математика
  • Автор: hjdhsyujkmhjhbhd
  • Вопрос задан 10 лет назад

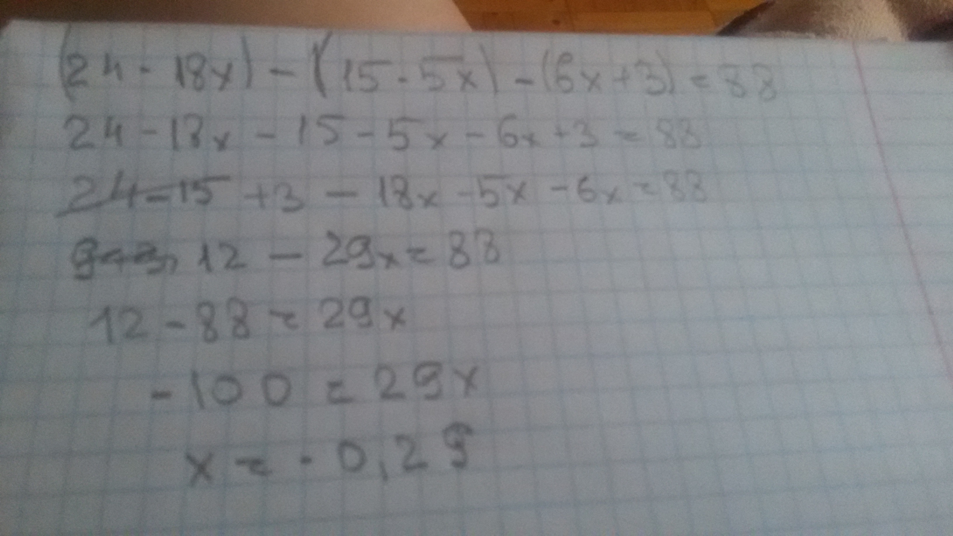
(24-18 х)-(15-5х)-(6х+3)=88 реши уравнение

Ответы

Ответ дал: Ксюшка23
0
Вот так вот. Не сложно)
Приложения:
Ответ дал: scoundrel07
0
(24-18 х)-(15-5х)-(6х+3)=88
24-18х -15+5х-6х-3 = 88
-19х = 88-24+15+3
-19х=82
х=-82/19
Приложения:
Вас заинтересует