• Предмет: Алгебра
  • Автор: GhostStar
  • Вопрос задан 9 лет назад

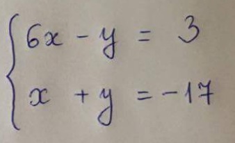
Решите систему. во вложении

Приложения:

Ответы

Ответ дал: christinab02
0
y=6x-3 x+6x-3=-17 7x=-14 x=-2 6*(-2)-y=3 -y=15 y=-15 Ответ:х=-2;у=-15
Вас заинтересует