• Предмет: Алгебра
  • Автор: ZzzZzzZzz1
  • Вопрос задан 3 года назад

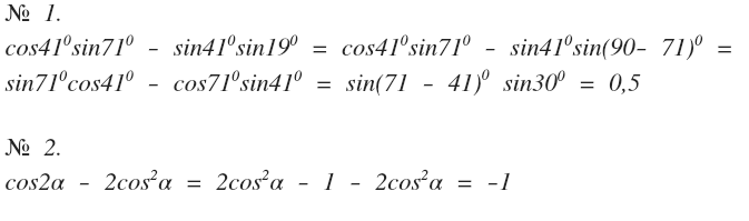
1)cos41*sin71-sin41*sin19 
2)cos2a-2cos^2a

Ответы

Ответ дал: irkarom
4

cos41*sin71-sin41*sin19 

может быть нужно cos41*sin71-sin41*sin71????

<var>2)cos2a-2cos^2a=cos^2a-sin^2a-2cos^2a=-cos^2a-sin^2a=\\ =-(cos^2+sin^2a)=-1</var>

Ответ дал: lavan13
3

Решение во вложении...

Приложения:
Вас заинтересует