Решите уравнения
x+1/x-1 - x-1/x+1
a-d/a-b - a+2/b-a
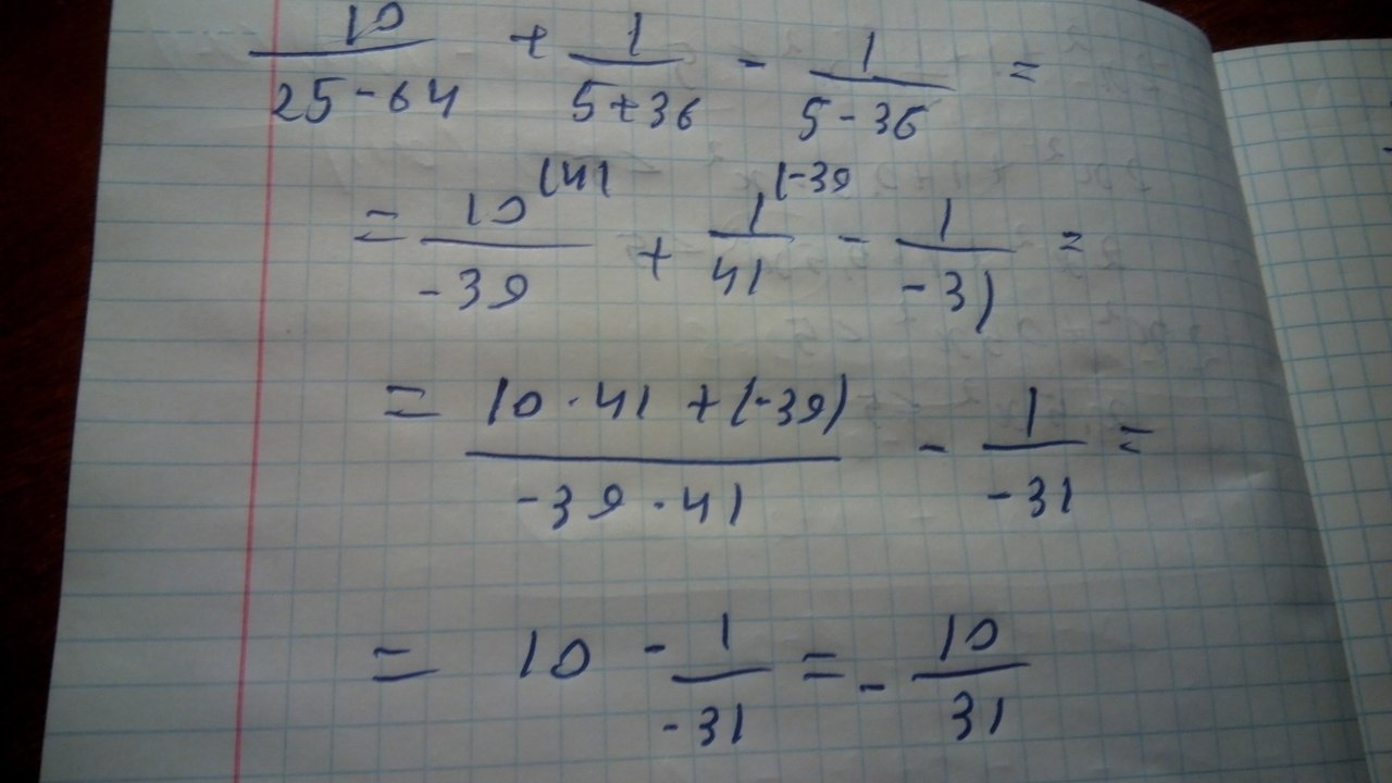
10/25-64 + 1/5+6 в квадрате - 1/5-6 в квадрате
Ответы
Ответ дал:
0
Все на фотках, надеюсь понятно))
Приложения:





Вас заинтересует
2 года назад
2 года назад
7 лет назад
7 лет назад
9 лет назад
10 лет назад