• Предмет: Алгебра
  • Автор: bjdxxbymoik
  • Вопрос задан 10 лет назад

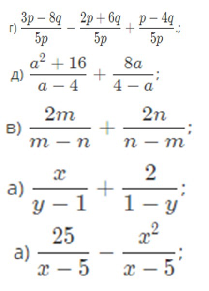
Пожалуйста помогите и обьясните если это возможно :)

Приложения:

Ответы

Ответ дал: tairka14
0
это изи ,тут знаменатели общие,просто почитай числитель и вычти
Ответ дал: bjdxxbymoik
0
Ответить может каждый, сделать не каждый.
Вас заинтересует