• Предмет: Алгебра
  • Автор: Дмитрий444111
  • Вопрос задан 10 лет назад

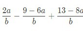
Помогите,упростить выражения

Приложения:

Ответы

Ответ дал: sasha1038
0
знаменатель 5р и под общую дробь переписуй верх
Ответ дал: sasha1038
0
3p-4q-2p-6q+p-4q
Ответ дал: sasha1038
0
3p, 2p, p сокращаются
Ответ дал: sasha1038
0
-4q-6q-4q= -14q
Ответ дал: sasha1038
0
по идее так
Ответ дал: Дмитрий444111
0
Окончательный ответ дай.
Вас заинтересует