• Предмет: Математика
  • Автор: Кирилл65564234
  • Вопрос задан 10 лет назад

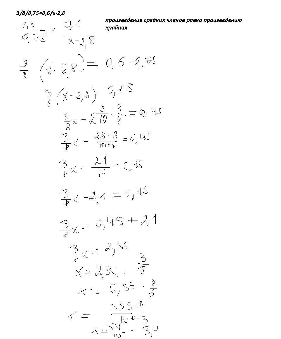
Найдите x в пропорциях 3/8/0,75=0,6/x-2,8

Ответы

Ответ дал: darpla
0
ответ в приложенном файле
Приложения:
Вас заинтересует