Ответы
Ответ дал:
0
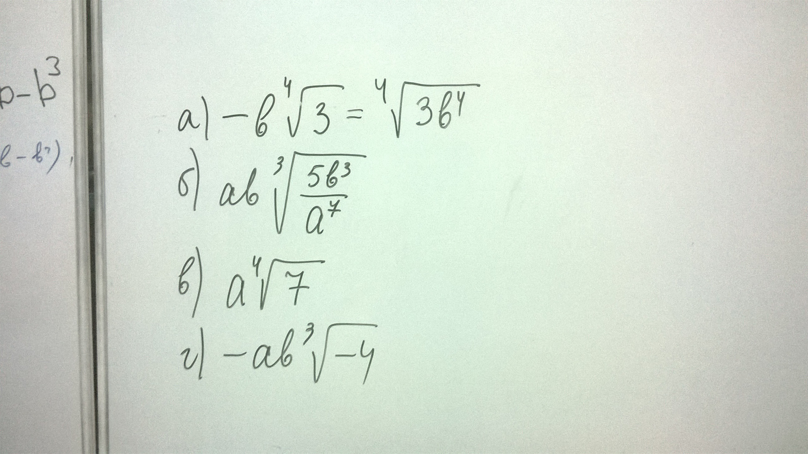
б) ab∛(5b³/a⁷)=∛((5b³/a⁷)*a³b³)=∛(5b⁶/a⁴)
в) a* ⁴√7 = ⁴√(7*a⁴)
г) -ab∛-4=∛(-4*(-ab)³)=∛4(ab)³
в) a* ⁴√7 = ⁴√(7*a⁴)
г) -ab∛-4=∛(-4*(-ab)³)=∛4(ab)³
Вас заинтересует
3 года назад
3 года назад
7 лет назад
7 лет назад
10 лет назад
10 лет назад
10 лет назад
10 лет назад