• Предмет: Алгебра
  • Автор: Аноним
  • Вопрос задан 10 лет назад

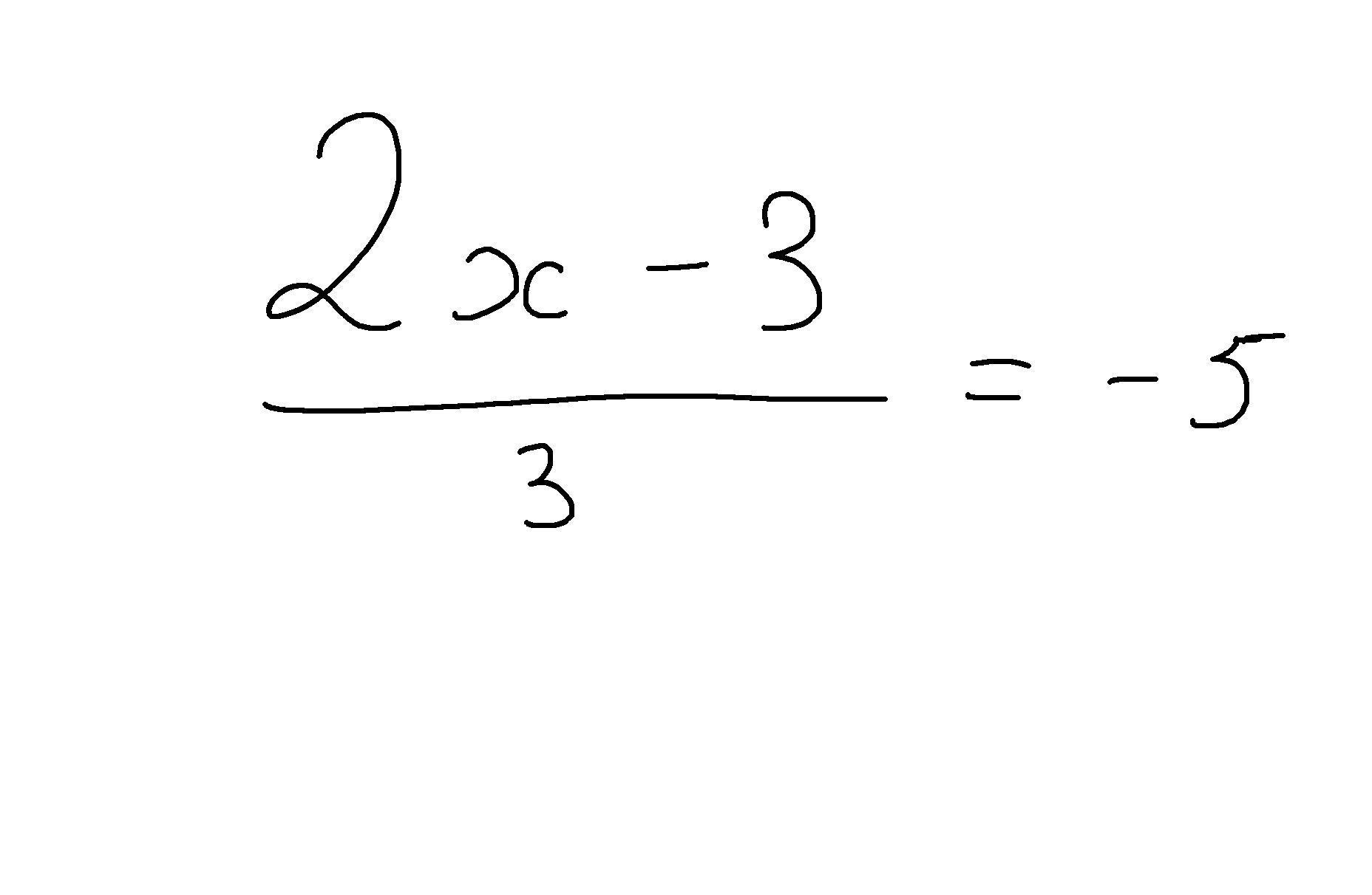
срочно !!!!!!!!! Решить линейное уравнение

Приложения:

Ответа на этот вопрос пока нет. Попробуйте найти его через форму поиска.

Вас заинтересует