• Предмет: Алгебра
  • Автор: LenochkaK
  • Вопрос задан 3 года назад

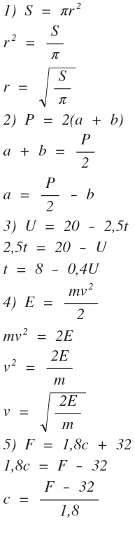
1) S=Пr^2 ,выразите радиус r 2)Из формулы периметра прямоугольника ,P=2(a+b)-выразите одну из его сторон 3)Выразите из формулы скорости ,U=20-2,5t -времяt 4)Из формулы кинетической энергии ,E=mU^2/2,выразите скорость U 5)выразите из формулы F=1,8c+32 переменную С

Ответы

Ответ дал: lavan13
2

Решение во вложении...

Приложения:
Вас заинтересует