• Предмет: Алгебра
  • Автор: witchdavina
  • Вопрос задан 9 лет назад

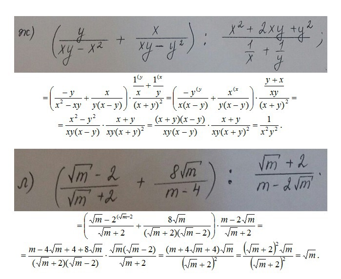
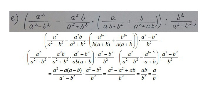
е, ж, л. Пожалуйста! (Прикрепляю фото)

Приложения:

Ответы

Ответ дал: SergFlint
0
Решение в двух приложениях.
Приложения:
Ответ дал: witchdavina
0
Огромное спасибо!
Вас заинтересует