• Предмет: Алгебра
  • Автор: kuros
  • Вопрос задан 10 лет назад

помогите пожалуйста
15б

Приложения:

Ответы

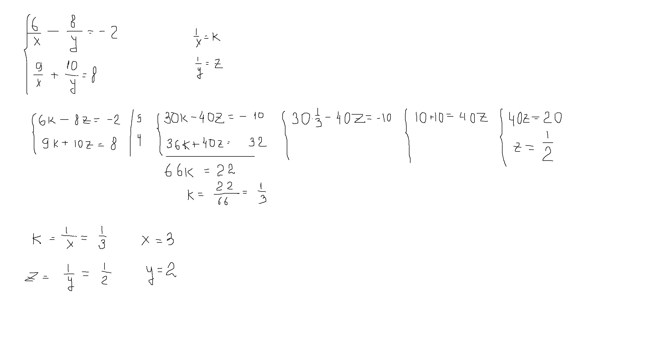
Ответ дал: ireena
0
решение в приложенном рисунке
Приложения:
Вас заинтересует